开云手机在线登录入口
领导信箱
企业白名单
首页
开云手机在线登录入口
集团简介
组织架构
所属单位
政务公开
开云手机在线登录入口:农机购置补贴信息公开专栏
现代农业
现代农业
产业发展
产业发展
党建引领
党建引领
品牌建设
品牌建设
开放合作
开放合作
开云手机在线登录入口
开云手机在线登录入口
信息公开
企业信息
经济信息-经营情况
经济信息-国有资产保值增值
经济信息-财务状况
经济信息-企业年度报告
开云手机在线登录入口:三重一大事项-重大决策
开云手机在线登录入口:三重一大事项-人事任免
开云手机在线登录入口:三重一大事项-人事招聘
三重一大事项-项目安排
开云手机在线登录入口:三重一大事项-招投标公告
三重一大事项-大额资金运作
社会责任履行
整改落实情况
企业党建
开云手机在线登录入口:有关部门规定的其他事项
信息公开制度
各级子企业信息公开
开云手机在线登录入口
>
开云手机在线登录入口
>
政务公开
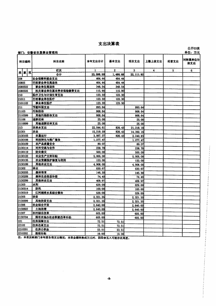
安徽省农垦事业管理局2018年部门决算情况
开云手机在线登录入口
集团简介
组织架构
所属单位
政务公开
农机购置补贴信息公开专栏
安徽省农垦事业管理局2018年部门决算情况
发布日期:2019-08-28 浏览次数:18627
上一篇:
开云手机在线登录入口:安徽省农垦事业管理局2018年“三公”经费决算
下一篇:
开云手机在线登录入口:安徽省农垦事业管理局2014年部门决算情况
领导信箱
企业白名单
关注开云手机在线登录入口官方微信平台
安徽农垦集团
安徽农垦集团
安徽农垦集团
安徽农垦集团
安徽农垦集团